Definition of Planing

Discussion in 'Hydrodynamics and Aerodynamics' started by Leo Lazauskas, Nov 2, 2012.

  1. Joakim
    Joined: Apr 2004
    Posts: 892
    Likes: 53, Points: 28, Legacy Rep: 422
    Location: Finland

    Joakim Senior Member

    I just couldn't guess someone would use Newtons for displacement!

    This may be a good formula for similar prismatic hulls, but it assumes many things like chines, transom etc., which are not there for all planing hulls.
     
  2. daiquiri
    Joined: May 2004
    Posts: 5,370
    Likes: 259, Points: 93, Legacy Rep: 3380
    Location: Italy (Garda Lake) and Croatia (Istria)

    daiquiri Engineering and Design

    Generally, when you see the word "weight" in a technical paper, it means that a force (and not mass) units are to be used.
    If you by chance discover that the author has confused the word "mass" with the word "weight", then you'd better question the credibility of the whole paper. ;)
    Cheers
     
  3. tunnels

    tunnels Previous Member

    Oh my God there are more variables to put in the stew pot ?? when will it ever end . and theres prisms to hold up and get rainbows on the wall from the sun .
    What happened to the stone skimming , bouncing ,planing across the lake thing :?:?:?:? :?:and the long and skinny and fat boat thing did it just die not knowing what its eventual end was or could or should be ? or was it just a diversion to keep evryone busy while somethin else was going on elsewhere ?
     
  4. daiquiri
    Joined: May 2004
    Posts: 5,370
    Likes: 259, Points: 93, Legacy Rep: 3380
    Location: Italy (Garda Lake) and Croatia (Istria)

    daiquiri Engineering and Design

    Probably yes, and we'll possibly arrive to them too.
     
  5. HASYB
    Joined: Jun 2011
    Posts: 310
    Likes: 17, Points: 18, Legacy Rep: 143
    Location: The Netherlands

    HASYB Senior Member

    Static and dynamic phenomena are the same?
     
  6. Joakim
    Joined: Apr 2004
    Posts: 892
    Likes: 53, Points: 28, Legacy Rep: 422
    Location: Finland

    Joakim Senior Member

    Yes, I know that. I just saw the word displacement and didn't even think of the term weight. I don't quite understand why would one use term displacement in that formula, if he really wants force due to gravity.

    Weight is a stupid term anyway and all the technical papers I read use m*g instead of it never mentioning weight, which only causes confusion due to every day use of weight = mass.
     
  7. Stephen Ditmore
    Joined: Jun 2001
    Posts: 1,626
    Likes: 77, Points: 58, Legacy Rep: 699
    Location: South Deerfield, MA, USA

    Stephen Ditmore Senior Member

    If you're saying Almeter could have done things to make his equation more intuitive for the rest of us, I agree, beginning with flipping the fraction so velocity is in the numerator and displacement in the denominator (making higher values higher velocities). But it's called the Almeter number, not the Ditmore number, so if it works for Almeter to calculate it the way it is [and then take log(10)]...

    Almeter has taken unwieldy data and found an elegant way to analyze it, and I give him credit.
     
  8. daiquiri
    Joined: May 2004
    Posts: 5,370
    Likes: 259, Points: 93, Legacy Rep: 3380
    Location: Italy (Garda Lake) and Croatia (Istria)

    daiquiri Engineering and Design

    I agree, occasionally a confusion arises about the usage of the two terms, even in technical papers. Unfortunately, the world has changed a lots of measurement systems before arriving to the SI, so now we have some older technical books and papers which still use kgf (kilogram-force) as a unit for force intensity, kcals/h for thermal power, and similar stuff...

    It could be just a matter of one's educational background (I am an aeronautical engineer), but I tend to take care of the usage of terms mass/weight in the text. A boat designer might not care too much about a tiny change in "g" at various geographical latitudes or elevations of practical use for ship design, but an aero engineer on occasions does have to take it into account when evaluating the aircraft or spacecraft performance. ;)

    Cheers
     
  9. Stephen Ditmore
    Joined: Jun 2001
    Posts: 1,626
    Likes: 77, Points: 58, Legacy Rep: 699
    Location: South Deerfield, MA, USA

    Stephen Ditmore Senior Member

    Yup. Can't wait for Leo to sort it out!
     
  10. Joakim
    Joined: Apr 2004
    Posts: 892
    Likes: 53, Points: 28, Legacy Rep: 422
    Location: Finland

    Joakim Senior Member

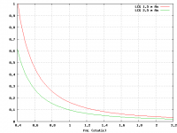
    I calculated that 7 m (6.5 m LWL), 2000 kg, 2.5 Bm boat with my Savitsky solver at LCG 1.5 m and 2.5 m and compared that to Almeter numbers.

    First in "planing.png" you can see the predicted trim angle (divided by 10 in order to fit in), thrust and proportion of dynamic lift. Note that below FnL 0.5-0.6 the method is outside of some of its limits.

    The one with LCG=1.5 shows much clearer planing threshold with hump in thrust and strongly decreasing trim. The one with LCG=2.5 shows no hump in thrust and trim starts reducing later. The dynamic lift is clearly higher for LCG=1.5 at all speeds.

    So which one starts planing first?

    According to Almeter number (An.png) it is clearly the one with bigger LCG, but that is not at all supported by the dynamic lift proportion or with the onset of decreasing trim. According to the Almeter number the one with LCG=1.5 would not plane until FnL=1.3 although it has then already over 90% of dynamic lift.

    Again: Which one starts planing first?
     

    Attached Files:

  11. tunnels

    tunnels Previous Member

    So yet again the right hand still dosent know what the left hands doing !!!

    In the real world theres no such thing as which one planes first they should both be equal and They should both start planing at the same time !!!!
    get real folks . Stamp you feet in protest jump up and down ad sware a lot
    but im right like it or not the figures Lie they dont tell the truth !!
     
  12. daiquiri
    Joined: May 2004
    Posts: 5,370
    Likes: 259, Points: 93, Legacy Rep: 3380
    Location: Italy (Garda Lake) and Croatia (Istria)

    daiquiri Engineering and Design

    Are you really dumb or just playing dumb?
     
  13. FMS
    Joined: Jul 2011
    Posts: 611
    Likes: 22, Points: 18, Legacy Rep: 227
    Location: united states

    FMS Senior Member

    Explain how you reached this conclusion.
     
  14. tunnels

    tunnels Previous Member

    Again: Which one starts planing first?

    which one planes first ??? :confused:
    and which one planes last ??? :confused:
    dumb who's dumb ?? :(
    we are all dumb in varying degrees :eek:
    Id be pretty safe if this was testing dumness !!:eek:.
    Ok ,how do you measure insanity ??:?:
    where do you shove the thermometer ??:rolleyes:
    This is pretty much the same sort of thing :p.

    Should lock everyone in a room with no toilet ,no food ,no computers and naked women pictures all over the walls!! and just one glass but lots of water till you all agree on one simple easy to understand plain as answer !!! :mad:
     
  15. daiquiri
    Joined: May 2004
    Posts: 5,370
    Likes: 259, Points: 93, Legacy Rep: 3380
    Location: Italy (Garda Lake) and Croatia (Istria)

    daiquiri Engineering and Design

    Express your point, once for all.
    After 10 pages of useless ranting, you still haven't said anything useful for the discussion.
     

  • Loading...
    Forum posts represent the experience, opinion, and view of individual users. Boat Design Net does not necessarily endorse nor share the view of each individual post.
    When making potentially dangerous or financial decisions, always employ and consult appropriate professionals. Your circumstances or experience may be different.