Delft Systematic Deadrise Series

Discussion in 'Hydrodynamics and Aerodynamics' started by Windvang, Oct 6, 2017.

  1. Windvang
    Joined: Jan 2006
    Posts: 180
    Likes: 7, Points: 18, Legacy Rep: 65
    Location: Rotterdam,The Netherlands

    Windvang Yacht Designer

    schakel likes this.
  2. Angélique
    Joined: Feb 2009
    Posts: 3,003
    Likes: 338, Points: 83, Legacy Rep: 1632
    Location: Belgium ⇄ The Netherlands

    Angélique aka Angel (only by name)

    The above link gives me this page . . .​

    _tu_delft_login_screenshot_.jpg
     
  3. Windvang
    Joined: Jan 2006
    Posts: 180
    Likes: 7, Points: 18, Legacy Rep: 65
    Location: Rotterdam,The Netherlands

    Windvang Yacht Designer

    Yes, you need to request a user acount.
     
  4. Angélique
    Joined: Feb 2009
    Posts: 3,003
    Likes: 338, Points: 83, Legacy Rep: 1632
    Location: Belgium ⇄ The Netherlands

    Angélique aka Angel (only by name)

    OK, thanks . . :)
     
  5. DCockey
    Joined: Oct 2009
    Posts: 5,308
    Likes: 680, Points: 113, Legacy Rep: 1485
    Location: Midcoast Maine

    DCockey Participant

    Thanks for the link. I set up a user account and downloaded the Deadrise Series hull geometries in Rhino format (other formats are available) and complete measurement data.
     
  6. Windvang
    Joined: Jan 2006
    Posts: 180
    Likes: 7, Points: 18, Legacy Rep: 65
    Location: Rotterdam,The Netherlands

    Windvang Yacht Designer

    Do not forget the Papers in the library tab, those will explain a lot.
     
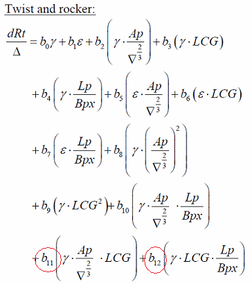
  7. bit
    Joined: Feb 2008
    Posts: 46
    Likes: 1, Points: 8, Legacy Rep: 34
    Location: Trieste

    bit Student

    Thanks. Are there B11 and B12 missing?
     
  8. Windvang
    Joined: Jan 2006
    Posts: 180
    Likes: 7, Points: 18, Legacy Rep: 65
    Location: Rotterdam,The Netherlands

    Windvang Yacht Designer

    What do you mean by B11 and B12?
     
  9. bit
    Joined: Feb 2008
    Posts: 46
    Likes: 1, Points: 8, Legacy Rep: 34
    Location: Trieste

    bit Student

    These two. Thanks.
     

    Attached Files:

  10. Windvang
    Joined: Jan 2006
    Posts: 180
    Likes: 7, Points: 18, Legacy Rep: 65
    Location: Rotterdam,The Netherlands

    Windvang Yacht Designer

    I did not have a good look myself yet, where are they expected to be?
    I will ask for you.
     
  11. bit
    Joined: Feb 2008
    Posts: 46
    Likes: 1, Points: 8, Legacy Rep: 34
    Location: Trieste

    bit Student

    Excel:
    FAST 2017 Coeff DSDS twist dRtDepl
    FAST 2017 Coeff DSDS torsione dTheta
    FAST 2017 Coeff DSDS torsione dZNabla
     
  12. Windvang
    Joined: Jan 2006
    Posts: 180
    Likes: 7, Points: 18, Legacy Rep: 65
    Location: Rotterdam,The Netherlands

    Windvang Yacht Designer

    I have contacted them and it will be fixed a.s.a.p. thank you for reporting it.
    If you send me a mail I can send them to you directly.
     
  13. HJS
    Joined: Nov 2008
    Posts: 509
    Likes: 139, Points: 43, Legacy Rep: 288
    Location: 59 45 51 N 019 02 15 E

    HJS Member

    I have downloaded and implemented DSDS in my own spreadsheets and tested it with some of my boats. It seems to be a very reliable tool for calculating the performance of my boats over a very large speed range. Thank you for all the information.

    JS
     
  14. schakel
    Joined: Jul 2008
    Posts: 386
    Likes: 16, Points: 18, Legacy Rep: 48
    Location: the netherlands

    schakel environmental project Msc

    Well I downloaded the whole database and found the hulls tested not so modern.
    Test results are fine, and looks very accurate. Well done.
    Thanks for the link. I can do the same as HJS and make the same calculations on the hulls as proposed by Verdier for the 36th cup. There is only one problem ..
    No-one, except for the Verdier design group, knows how the hulls and appendages will look like.
    I heard the hull looked something like this.
    Source (In dutch):
    Emirates Team New Zealand bevestigt foiling monohull tijdens 36ste America’s Cup | ClubRacer https://www.clubracer.be/2017/9/11/emirates-team-new-zealand-bevestigt-foiling-monohull-tijdens-36ste-americas-cup
    20170910-foiling-monohull.jpg
     

    Attached Files:

  15. HJS
    Joined: Nov 2008
    Posts: 509
    Likes: 139, Points: 43, Legacy Rep: 288
    Location: 59 45 51 N 019 02 15 E

    HJS Member

    Schakel

    DSDS is not applicable to the Verdier boat you refer to. DSDS only fit V-bottom boats. I have now investigated a number of boats and the results are very satisfactory, both calculated and measured. So I can only recommend using DSDS within the limits it is intended for. Your claim that it fits only "not so modern boats" is completely misleading.

    JS
     

  • Loading...
    Similar Threads
    1. Remmlinger
      Replies:
      95
      Views:
      27,476
    Forum posts represent the experience, opinion, and view of individual users. Boat Design Net does not necessarily endorse nor share the view of each individual post.
    When making potentially dangerous or financial decisions, always employ and consult appropriate professionals. Your circumstances or experience may be different.